| 일 | 월 | 화 | 수 | 목 | 금 | 토 |
|---|---|---|---|---|---|---|
| 1 | 2 | 3 | 4 | 5 | 6 | 7 |
| 8 | 9 | 10 | 11 | 12 | 13 | 14 |
| 15 | 16 | 17 | 18 | 19 | 20 | 21 |
| 22 | 23 | 24 | 25 | 26 | 27 | 28 |
- video generation
- unlearning
- Python
- 논문리뷰
- diffusion model
- 3d editing
- memorization
- visiontransformer
- 네이버 부스트캠프 ai tech 6기
- 코테
- ddim inversion
- diffusion models
- image editing
- diffusion
- 프로그래머스
- Concept Erasure
- Programmers
- VirtualTryON
- BOJ
- rectified flow
- inversion
- rectified flow matching models
- image generation
- flow matching models
- rectified flow models
- flow models
- flow matching
- Machine Unlearning
- 3d generation
- video editing
- Today
- Total
평범한 필기장
[평범한 학부생이 하는 논문 리뷰] Text-to-Image Rectified Flow as Plug-and-Play Priors (ICLR 2025) 본문
[평범한 학부생이 하는 논문 리뷰] Text-to-Image Rectified Flow as Plug-and-Play Priors (ICLR 2025)
junseok-rh 2025. 7. 17. 10:41Paper : https://arxiv.org/abs/2406.03293
Text-to-Image Rectified Flow as Plug-and-Play Priors
Large-scale diffusion models have achieved remarkable performance in generative tasks. Beyond their initial training applications, these models have proven their ability to function as versatile plug-and-play priors. For instance, 2D diffusion models can s
arxiv.org
Abstract
본 논문은 기존 diffusion model의 prior로써의 능력을 rectified flow model도 가지고 있고 오히려 성능이 더 좋다는 것을 보인다.

Preliminary



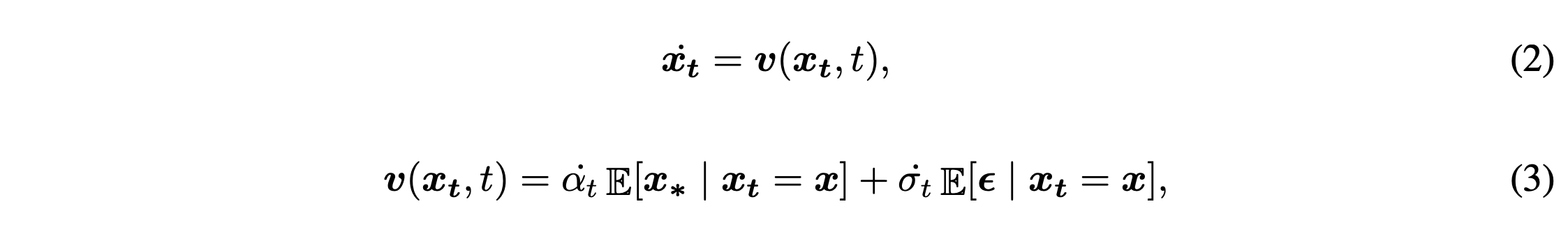
1. Methods
본 논문에서는 세가지 distillation method인 RFDS, iRFDS, RFDS-Rev를 제안한다.

1.1 RFDS
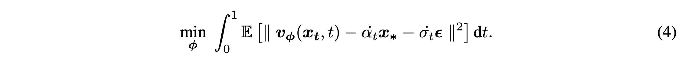
Pretrained network를 loss function으로 사용하는 것은 model 파라미터 대신에 input을 optimizing하는 것으로 볼 수 있다. 수식 (4)는 optimization variable로 $\mathbf{x}$를 두면 다음과 같이 나타낼 수 있다.

$\boldsymbol{\theta}$를 찾기 위해서 위 수식의 $\boldsymbol{\theta}$에 대한 gradient는 다음과 같다.


본 논문에서는 DreamFusion에서 SDS와 같이 network jacobian을 identity matrix로 둔다. 최종 RFDS loss는 다음과 같다.

1.2 iRFDS
Rectified flow에서 velocity prediction objective는 time-symmetry property를 가지는데, 이를 이용해서 noise를 optimization할 수 있다. Optimization objective를 $\mathbf{x} = g(\boldsymbol{\theta})$에서 $\boldsymbol{\epsilon}$로 바꾸면 수식 (7)은 다음과 같아진다.


여기서 $w^\prime(t)$는 $w(t)$의 반대 부호이다.
이를 이용해 inversion을 하고 image editing이 가능하다.

1.3 RFDS-Rev

RFDS는 기존 SDS처럼 object detail이 부족하다. 본 논문은 ReFlow방식에서 영감을 받아서 RFDS-Rev를 제안한다. RFDS의 mode-seeking은 averaged velocity를 야기하고 결국 blurred image를 야기한다. 본 논문은 다음 가정을 도입한다.

이 가정을 바탕으로 본 논문은 RFDS를 향상시키기 위한 two-stage method를 제안한다.

본 논문은 이 방식을 ReFlow로 finetuning된 모델을 가정하고 설계됐지만, ReFlow training을 하는 것과 상관없이 성능을 향상시켰다.
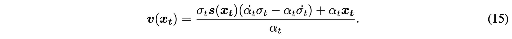
1.4 Applying iRFDS and RFDS-Rev to Diffusion models
Score function을 velocity field로 변환함으로써 diffusion model에서도 위 세가지 방식이 적용될 수 있다. Diffusion model에 적용될 때, RFDS baseline은 SDS loss와 동일하다.

2. Experiments
2.1 RFDS vs RFDS-Rev vs Diffusion Prior vs Diffusion RFDS-Rev
Toy Experiments on Optimization of 2D case

Text-to-3D Generation by Lifting 2D Models


2.2 iRFDS vs Diffusion Methods


2.3 Ablation Experiments
iRFDS optimization steps in RFDS-Rev

w/ Network Jacobian vs w/o Network Jacobian
