| 일 | 월 | 화 | 수 | 목 | 금 | 토 |
|---|---|---|---|---|---|---|
| 1 | 2 | 3 | ||||
| 4 | 5 | 6 | 7 | 8 | 9 | 10 |
| 11 | 12 | 13 | 14 | 15 | 16 | 17 |
| 18 | 19 | 20 | 21 | 22 | 23 | 24 |
| 25 | 26 | 27 | 28 | 29 | 30 | 31 |
- 논문리뷰
- ddim inversion
- 프로그래머스
- Concept Erasure
- flow matching models
- memorization
- diffusion model
- 3d editing
- rectified flow matching models
- image editing
- 네이버 부스트캠프 ai tech 6기
- rectified flow models
- 3d generation
- visiontransformer
- diffusion models
- flow models
- rectified flow
- diffusion
- video editing
- video generation
- Machine Unlearning
- flow matching
- VirtualTryON
- inversion
- Programmers
- 코테
- unlearning
- BOJ
- image generation
- Python
- Today
- Total
평범한 필기장
[평범한 학부생이 하는 논문 리뷰] DragAnything : Motion Control for Anything using Entity Representation (ECCV 2024) 본문
[평범한 학부생이 하는 논문 리뷰] DragAnything : Motion Control for Anything using Entity Representation (ECCV 2024)
junseok-rh 2024. 11. 12. 14:43Paper : https://arxiv.org/abs/2403.07420
DragAnything: Motion Control for Anything using Entity Representation
We introduce DragAnything, which utilizes a entity representation to achieve motion control for any object in controllable video generation. Comparison to existing motion control methods, DragAnything offers several advantages. Firstly, trajectory-based is
arxiv.org
Project Page : https://weijiawu.github.io/draganything_page/
SEED Multimodal
Project page for SEED Multimodal.
ailab-cvc.github.io
1. Introduction
Controllable video generation은 더 많은 본질적인 challenge를 가지고, 이는 spatial content manipulation 뿐만 아니라 precise temporal motion control을 요구한다.
최근 controllabel video generation에서 trajectory-based motion control이 user-friendly하고 efficient solution이라는 것이 증명됐다. 대표적인 예로 Drag-NUWA와 MotionCtrl이 있다고 한다. 이 두 모델은 controllable video generation에서 상당한 contribution을 만들었다고 한다. 그런데 중요한 질문인 "Can a single point onn the target truly represent the target?"을 간과해왔다.
Single pixel point는 전체 object를 대표할 수 없다. 그렇기에 single pixel point를 드래그하는 것은 대응되는 object를 정확하게 control할 수 없다. 이러한 issue를 해결하기 위해 두 가지 컨셉을 명확하게 할 필요가 있다.
- What entity. 드래그될 특정 지역이나 객체를 식별하기.
- How to drag. 선택된 구역만 드래그하는 것을 어떻게 달성하는가.
첫번째 문제는 interactive segmenation을 사용하는 것으로 해결될 수 있다. 두번째 문제가 어려운데, 본 논문에서는 어떠한 개체에 대하느 정확한 motion control을 달성하기 위해 새로운 Entity Representation을 제안한다.
기존에 latent feature를 사용하는 것에 영감을 받아 본 논문은 각 entity를 대표하기 위해 diffusion model의 latent feature를 사용하는 DragAnything을 제안한다. Entity mask의 coordinate indices에 기초해서, 첫 frame의 diffusion feature로부터 대응되는 semantic features를 추출할 수 있다. 그러고 나서 이러한 feature들을 entity를 대표하기위해 사용할 수 있고, 이를 통해서 대응되는 latent feature의 spatial position을 조작함으로써 entity-level motion control을 달성할 수 있다.
본 논문의 contribution은 다음과 같다.

2. Methodology
2.1 Task Formulation and Motivation
Task Formulation
Trajectory-based video generation task는 주어진 motion trajectory를 base로 video를 합성하는 모델을 필요로 한다. 이때 point trajectory $(x_1, y_1), \cdots, (x_L, y_L)$가 주어지면 conditional denoising autoencoder $\epsilon_\theta(z,c)$가 motion trajectory에 대응되는 video를 생성하도록 활용된다. 여기서 $c$에는 trajectory points, video의 first frame, first frame의 entity mask가 들어간다.
Motivation
이전의 trajectory-based work인 DragNUWA와 MotionCtrl은 제공된 trajectory coordinates나 그들의 derivatives를 이용해서 대응되는 픽셀들이나 픽셀 영역들을 직접 조작한다. 하지만 이 방식들은 "제공된 trajectory points가 control하려고 하는 entity를 전부 나타내지는 못할 수 있다."라는 중요한 문제를 간과한다. 그래서 이러한 point들을 드래깅하는 것이 object의 motion을 정확하게 control하지 않을 수 있다.
본 논문에서는 toy experiments를 진행해서 다음과 같은 insight를 얻었다.

위 두 가지 insight들을 통해 본 논문은 object의 representation으로써 control하고 싶은 그 object의 latent feature를 추출하는 Entity Representation을 제안한다.
2.2 Architecture

전체적인 architecture는 위 이미지와 같다.
2.3 Entity Semantic Representation Extraction
본 논문의 method는 gaussian representation과 그에 대응되는 entity representation이다.
Entity Representation Extraction

(1) 첫번째 frame $\mathbf{I}^{H \times W \times 3}$와 그에 대응되는 entity mask $\mathbf{M}$가 주어지면, diffusion inversion을 통해 image의 latent noise $\mathbf{x}$를 얻는다.
(2) Denoising U-Net $\epsilon_\theta$를 통해 대응되는 latent diffusion feature $\mathcal{F} \in \mathbb{R}^{H \times W \times C}$를 추출한다.

(3) Diffusion feature $\mathcal{F}$를 가지고, entity mask $M$로부터 대응되는 coordinate를 indexing함으로써 대응되는 entity embedding을 얻을 수 있다.
(4) Average pooling을 통해 final embedding $\{ e_1, e_2, \cdots, e_k \}$를 얻는다.
(5) Entity embedding들을 대응되는 trajectory point들과 연관시키기 위해, zero matrix $\mathbf{E} \in \mathbb{R}^{H \times W \times C}$에 entity embedding들을 trajectory sequence point들을 base로 끼워넣는다.

위 이미지에서와 같이 첫번째 frame의 entity의 center coordinate $\{ (x^1, y^1), \cdots, (x^k, y^k) \}$가 주어지면, Co-Tracker를 통해 이 point들을 track하고 대응되는 motion trajectory $\{ \{(x^1_i, y^1_i) \}^L_{i=1}, \cdots, \{ (x^k_i, y^k_i) \}^L_{i=1} \}$를 얻는다. 이를 통해 대응되는 entity representation $\{ \mathbf{\hat{E}_i} \}^L_{i=1}$을 얻을 수 있다.
2D Gaussian Representation Extraction


Entity의 중앙에 가까운 pixel들은 일반적으로 더 중요하다고 할 수 있다. 그래서 본 논문은 제안된 entity representation이 edge pixel의 weight를 줄이면서 중앙 지역에 더 집중하도록 하는 것을 목표로 한다. 2D Gaussian Representation은 이를 효율적으로 강화할 수 있다. 위 이미지와 같이 $\{ \{ (x^1_i, y^1_i) \}^L_{i=1}, \cdots, \{ (x^k_i, y^k_i) \}^L_{i=1} \}$와 $\{ r^1, \cdots, r^k \}$를 가지고, 대응되는 2D Gaussian Distribution Representation trajectory sequence $\{ \mathbf{G_i} \}^L_{i=1}$를 얻을 수 있다. 그 후 $\mathcal{E}$를 이용해서 이를 처리하고 이를 entity representation과 merge한다.
Encoder for Entity Representation and 2D Gaussian Map

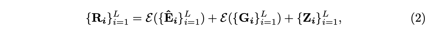
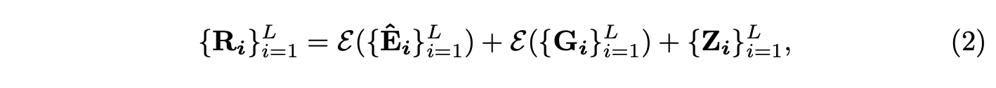
위와 같이 entity representation과 2D Gaussian map을 latent feature로 encoding하기 위해 encoder $\mathcal{E}$를 사용한다. 여기서 $\mathcal{E}$는 두 개의 convolution layer와 SiLU activation function으로 되어있는 블록 4개를 활용한다. 두 개의 encoder는 첫번째 블록 channel 수만 다르고 동일한 구조를 가진다. 이는 두 representation이 다를 때 달라진다. 두 encoder를 통해 나온 것들은 다음과 같이 latent noise와 더해진다.

이렇게 얻어진 $\{ \mathbf{\hat{R}_i} \}^L_{i=1}$은 denoising 3D Unet의 encoder를 통과하고 이를 통해 4개의 feature를 얻게된다. 이 feature들은 ControlNet과 동일하게 denoising 3D Unet에 더해지면서 latent condition signal로 작용한다.
2.4 Training and Inference
Ground Truth Label Generation

- Entity에 대한 mask의 incircle에 대해서 계산해서 center $(x,y)$와 radius $r$을 얻는다.
- Co-Tracker를 통해 $(x,y)$로 trajectory points $\{ (x_i, y_i) \}^L_{i=1}$를 얻는다.
- Trajectory Points와 radius를 통해, Trajectory of 2D Gaussian을 얻는다.
- Circle의 trajectory에서의 각 circle마다 entity embedding을 넣어줌으로써 Entity Representation의 trajectory를 얻는다.
Loss Function

여기서 $\mathbf{M}$은 각 frame에서 entity들의 mask이다. 이를 통해 optimize하기 원하는 영역에만 backpropagate하기 위해서 MSE loss를 제한한다.
Inference of User-Trajectory Interaction
Inference시에는 유저가 컨트롤하고 싶은 영역을 click하고 픽셀을 드래그한다. 이를 통해 DragAnything은 비디오를 생성할 수 있다.
3. Experiments
3.1 Experiment Settings
Evaluation Metrics
- FID : Visual Quality
- FVD : Temporal Coherence
- ObjMC : Object Motion Control $\rightarrow$ predicted와 GT trajectory사이의 euclidian distance
3.2 Comparisons with SOTA methods

Evaluation of Video Quality
표 1에서 FID score를 보면 DragNUWA보다 좋은 것을 확인할 수 있다. DragAnything의 video quality에 대한 정성적인 결과는 다음과 같다.

Evaluation of Temporal Coherence
표 1에서 FVD score를 보면 temporal coherence가 DragNUWA보다 더 좋은 것을 볼 수 있다.
Evaluation of Object Motion
표 1에서 ObjMC score를 통해 DragNUWA보다 motion control performance가 더 좋은 것을 볼 수 있다. 정성적인 결과는 아래와 같다.

User Study for Motion Control and Video Quality

3.3 Ablation Studies

Effect of Entity Representation $\mathbf{\hat{E}}$

위 수식 (2)에서 Entity Representation $\mathbf{\hat{E}}$를 넣는 것에 대한 결과를 통해서 이에 대한 효과를 확인한다. $\mathbf{\hat{E}}$가 생성된 video에서 object motion에 주요하게 영향을 끼치기 때문에, ObjMC만 비교할 필요가 있다. 표 2에서의 결과를 보면 ObjMC가 좋아지는 것을 볼 수 있다.
Effect of 2D Gaussian Representation
위와 동일한 방식으로 2D Gaussian Representation의 효과에 대한 결과를 관측했다. 표 2에서의 결과에서 볼 수 있듯이 Gaussian representation을 넣었을 때, ObjMC의 결과가 좋아진 것을 볼 수 있다. 그리고 Entity representation과 ObjMC representation 둘 모두를 넣었을 때 가장 좋은 결과를 보인다.
Effect of Loss Mask $\mathbf{M}$
표 3은 Loss Mask $\mathbf{M}$에 대한 ablation 결과를 보여준다. 결과에서 볼 수 있듯이 $\mathbf{M}$의 효과가 있는 것을 볼 수 있다.
3.4 Discussion for Various Motion Control

4. Limitation & Bad Case Analysis

- Trajectory-based motion control method들이 공통적으로 가지는 한계점으로, 2D dimension으로 제한되고 뒤를 돌거나 정확한 body rotation과 같은 3D scene에 대한 motion을 다룰 수 없다.
- Foundation model의 performance에 제한되고 위 이미지처럼 매우 거대한 motion들을 가진 장면을 생성할 수 없다.
위 이미지에서의 예시를 보면 공룡의 다리가 5개이거나 모션이 이상한 경우, 독수리의 날개가 희미한 경우가 발생한다. 이는 foundation model의 생성 능력을 넘어서는 과도한 motion때문일 수 있다고 한다.